Hyperelastic material - Compressible Mooney-Rivlin

The Mooney-Rivlin strain energy function is expressed by

$\displaystyle \rho_0 \psi = C_1(\bar{I}_1-3) + C_2(\bar{I}_2-3) + \frac{1}{2}K ({\rm ln} J)^2$ (11)

where $C_1$ and $C_2$ are material constants, $K$ is the bulk modulus, $J$ is the Jacobian (determinant of the deformation gradient, corresponding to the ratio of the current and initial volume), $\bar{I}_1 = J^{-\frac{2}{3}} I_1$, $\bar{I}_2 = J^{-\frac{2}{3}} I_2$, where $I_1$ and $I_2$ are the first and the second principal invariants of the right Cauchy-Green deformation tensor $C$. Compressible neo-Hookean material model is obtained by setting $C_2 = 0$. Then stress-strain law can be derived from (11) as

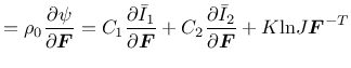
$\displaystyle \mbox{\boldmath$P$}$$\displaystyle = \rho_0 \frac{\partial \psi}{\partial \mbox{\boldmath$F$}} = C_1...
...l\bar{I}_2}{\partial\mbox{\boldmath$F$}} + K {\rm ln}J \mbox{\boldmath$F$}^{-T}$ (12)

where $P$ is the first Piola-Kirchhoff stress,

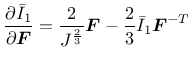
$\displaystyle \frac{\partial \bar{I}_1}{\partial\mbox{\boldmath$F$}} = \frac{2}...
...\frac{2}{3}}}\mbox{\boldmath$F$} - \frac{2}{3}\bar{I}_1\mbox{\boldmath$F$}^{-T}$ (13)

and

$\displaystyle \frac{\partial \bar{I}_2}{\partial\mbox{\boldmath$F$}} = 2\bar{I}...
...th$F$}^{-T}-\frac{2}{J^\frac{4}{3}}\mbox{\boldmath$F$}\cdot \mbox{\boldmath$C$}$ (14)

The first elasticity tensor is derived as

$\displaystyle A_{ijkl} = \frac{\partial P_{ij}}{\partial F_{kl}} = C_1 A^1_{ijkl} + C_2 A^2_{ijkl} + K(F_{ji}^{-1}F_{lk}^{-1} - {\rm ln}J F_{jk}^{-1}F_{li}^{-1})$ (15)

where

$\displaystyle A^1_{ijkl} = \frac{2}{3} J^{-\frac{2}{3}}\left[3\delta_{ik}\delta...
...lk}^{-1}F_{ij}+\frac{2}{3}I_1 F_{ji}^{-1}F_{lk}^{-1}-2F_{ji}^{-1}F_{kl} \right]$ (16)

and


$\displaystyle A^2_{ijkl} = 2 J^{-\frac{4}{3}}\left[ I_1 \delta_{ik} \delta_{jl}...
...-\frac{8}{9}I_2 F_{ji}^{-1}F_{lk}^{-1}-\frac{4}{3}I_1 F_{ji}^{-1}F_{kl} \right.$      
$\displaystyle \left. + \frac{4}{3} F_{kn}C_{nl}F_{ji}^{-1} +\frac{2}{3}I_2 F_{l...
..._{im}C_{mj} - \delta_{ik}C_{lj} - F_{il}F_{kj} + F_{km}F_{im}\delta_{jl}\right]$     (17)

The model description and parameters are summarized in Tab. 5.

Table 5: Compressible Mooney-Rivlin - summary.
Description Mooney-Rivlin
Record Format MooneyRivlin (in) # d(rn) # K(rn) # C1(rn) # C2(rn) #
Parameters - material number
  - d material density
  - K bulk modulus
  - C1 material constant
  - C2 material constant
Supported modes 3dMat, PlaneStrain


Borek Patzak
2019-03-19