B3 and MPS models for concrete creep with aging

Model B3 is an aging viscoelastic model for concrete creep and shrinkage, developed by Prof. Bazant and coworkers. In OOFEM it is implemented in three different ways.

The first version, “B3mat”, is kept in OOFEM for compatibility. It is based on an aging Maxwell chain. The moduli of individual units in the chain are evaluated in each step using the least-squares method.

The second, more recent version, is referred to as “B3solidmat”. Depending on the specified input it exploits either a non-aging Kelvin chain combined with the solidification theory, or an aging Kelvin chain. It is extended to the so-called Microprestress-Solidification theory (MPS), which in this implementation takes into account only the effects of variable humidity on creep; the effects of temperature on creep are not considered. The underlying rheological chain consists of four serially coupled components. The solidifying Kelvin chain represents short-term creep; it is serially coupled with a non-aging elastic spring that reflects instantaneous deformation. Long-term creep is captured by an aging dashpot with viscosity dependent on the microprestress, the evolution of which is affected by changes of humidity. The last unit describes volumetric deformations (shrinkage and thermal strains). Drying creep is incorporated either by the “averaged cross-sectional approach”, or by the “point approach”.

The latest version is denoted as “MPS” and is based on the microprestress-solidification theory [28] [29] [30]. The rheological model consists of the same four components as in “B3solidmat”, but now the implemented exponential algorithm is designed especially for the solidifying Kelvin chain, which is a special case of an aging Kelvin chain. This model takes into account both humidity and temperature effects on creep. Drying creep is incorporated exclusively by the so-called “point approach”. The model can operate in four modes, controlled by the keyword $CoupledAnalysisType$. The first mode ( $CoupledAnalysisType = 0$) solves only the basic creep and runs as a single problem, while the remaining three modes need to be run as a staggered problem with humidity and/or temperature analysis preceding the mechanical problem; both humidity and temperature fields are read when $CoupledAnalysisType = 1$, only the field of relative humidity is taken into account when $CoupledAnalysisType = 2$ and finally, only temperature when $CoupledAnalysisType = 3$.

The basic creep is in the microprestress-solidification theory influenced by the same four parameters $q_1$ - $q_4$ as in the model B3. Values of these parameters can be estimated from the composition of concrete mixture and its compressive strength using the following empirical formulae:

$\displaystyle q_1$ $\displaystyle =$ $\displaystyle 126.77 \bar{f_c}^{-0.5} \hspace{5 mm} [10^{-6}/$$\displaystyle \mbox {MPa}]$ (105)
$\displaystyle q_2$ $\displaystyle =$ $\displaystyle 185.4 c^{0.5} \bar{f_c}^{-0.9} \hspace{5 mm} [10^{-6}/$$\displaystyle \mbox {MPa}]$ (106)
$\displaystyle q_3$ $\displaystyle =$ $\displaystyle 0.29 \left(w/c\right)^4 q_2 \hspace{5 mm} [10^{-6}/$$\displaystyle \mbox {MPa}]$ (107)
$\displaystyle q_4$ $\displaystyle =$ $\displaystyle 20.3 \left(a/c\right)^{-0.7} \hspace{5 mm} [10^{-6}/$$\displaystyle \mbox {MPa}]$ (108)

Here, $\bar{f_c}$ is the average compressive cylinder strength at age of 28 days [MPa], $a$, $w$ and $c$ is the weight of aggregates, water and cement per unit volume of concrete [kg/m$^3$].

The non-aging spring stiffness represents the asymptotic modulus of the material; it is equal to $1/q_1$. The solidifying Kelvin chain is composed of $M$ Kelvin units with fixed retardation times $\tau_{\mu}$, $\mu = 1, 2, \dots, M$, which form a geometric progression with quotient 10. The lowest retardation time $\tau_1$ is equal to $0.3\; begoftimeofinterest$, the highest retardation time $\tau_M$ is bigger than $0.5\; endoftimeofinterest$. The chain also contains a spring with stiffness $E_0^\infty$ (a special case of Kelvin unit with zero retardation time). Moduli $E_{\mu}^\infty$ of individual Kelvin units are determined such that the chain provides a good approximation of the non-aging micro-compliance function of the solidifying constituent, $\Phi(t-t') = q_2 \ln \left( 1 + \left( \left(t-t' \right)/\lambda_0 \right)^n \right)$, where $\lambda_0 = 1$ day and $n = 0.1$. The technique based on the continuous retardation spectrum leads to the following formulae:

$\displaystyle \frac{1}{E_0^\infty}$ $\displaystyle =$ $\displaystyle q_2 \ln\left(1+\tilde{\tau_0}\right) - \frac{q_2 \tilde{\tau_0} }{10 \left( 1 + \tilde{\tau_0} \right)}$    where$\displaystyle \hspace{5 mm} \tilde{\tau_0} = \left( \frac{2 \tau_1}{ \sqrt{10}} \right)^{0.1}$ (109)
$\displaystyle \frac{1}{E_\mu^\infty}$ $\displaystyle =$ $\displaystyle (\ln 10) \frac{q_2 \tilde{\tau}_\mu \left(0.9 + \tilde{\tau}_\mu \right)}{10 \left( 1 + \tilde{\tau}_\mu \right)^2}$    where$\displaystyle \hspace{5 mm} \tilde{\tau}_\mu = \left(2 \tau_\mu \right)^{0.1}, \hspace{7 mm} \mu = 1,2,\dots M$ (110)

Viscosities $\eta_{\mu}^\infty$ of individual Kelvin units are obtained from simple relation $\eta_{\mu}^\infty=\tau_{\mu}/E_{\mu}^\infty$. A higher accuracy is reached if all retardation times are in the end multiplied by the factor 1.35 and the last modulus $E_M$ is divided by 1.2.

The actual viscosities $\eta_{\mu}$ and stiffnesses $E_{\mu}$ of the solidifying chain change in time according to $\eta_{\mu}(t) = v(t) \eta_{\mu}^\infty$ and $E_{\mu}(t) = v(t) E_{\mu}^\infty$, where

$\displaystyle v(t)= \frac{1}{\frac{q_3}{q_2} + \left( \frac{\lambda_0}{ t} \right)^m}$ (111)

is the volume growth function, and exponent $m = 0.5$. In the case of variable temperature or humidity, the actual age of concrete $t$ is replaced by the equivalent time $t_e$, which is obtained by integrating (114).

Evolution of viscosity of the aging dashpot is governed by the differential equation

$\displaystyle \dot{\eta}+\frac{1}{\mu_S T_0} \left \vert T \frac{\dot{h}}{h} - ...
...right \vert \left( \mu_S \eta \right)^{p/\left(p-1\right)} = \frac{\psi_S}{q_4}$ (112)

where $h$ is the relative pore humidity, $T$ is the absolute temperature [K], $T_0 = 298$ K is the room temperature, and parameter $p = 2$. Parameter $k_T$ is different for monotonically increasing and for cyclic temperature, and is defined as

$\displaystyle \kappa_T = \left \{ \begin{array}{ll}
k_{Tm} & \quad \mathrm{if} ...
...\mathrm{if} \; T < T_{max} \; \mathrm{or} \; \dot{T} \leq 0
\end{array} \right.$ (113)

in which $k_{Tm}$ [-] and $k_{Tc}$ [-] are new parameters and $T_{\max}$ is the maximum temperature attained in the previous history of the material point.

Equation (112) differs from the one presented in the original work; it replaces the differential equation for microprestress, which is not used here. The evolution of viscosity can be captured directly, without the need for microprestress. What matters is only the relative humidity and temperature and their rates. Parameters $c_0$ and $k_1$ of the original MPS theory are replaced by $\mu_S = c_0 T_0^{p-1} k_1^{p-1} q_4 (p-1)^p$. The initial value of viscosity is defined as $\eta(t_0) = t_0/q_4$, where $t_0$ is age of concrete at the onset drying or when the temperature starts changing, in the present implementation it is set $relMatAge$ which corresponds to the material age when the material is cast.

As mentioned above, under variable humidity and temperature conditions the physical time $t$ in function $v(t)$ describing evolution of the solidified volume is replaced by the equivalent time $t_e$. In a similar spirit, $t$ is replaced by the solidification time $t_s$ in the equation describing creep of the solidifying constituent, and by the reduced time $t_r$ in equation d$\varepsilon_f /$   d$t_r = \sigma / \eta(t)$ relating the flow strain rate to the stress. Factors transforming the physical time $t$ into $t_e$, $t_r$ and $t_s$ are defined as follows:

$\displaystyle \frac{dt_e}{dt}$ $\displaystyle =$ $\displaystyle \psi_e(t) = \beta_{eT}(T(t))\, \beta_{eh}(h(t))$ (114)
$\displaystyle \frac{dt_r}{dt}$ $\displaystyle =$ $\displaystyle \psi_r(t) = \beta_{rT}(T(t))\, \beta_{rh}(h(t))$ (115)
$\displaystyle \frac{dt_s}{dt}$ $\displaystyle =$ $\displaystyle \psi_s(t) = \beta_{sT}(T(t))\, \beta_{sh}(h(t))$ (116)

Functions describing the influence of temperature have the form
$\displaystyle \beta_{eT}(T)$ $\displaystyle =$ $\displaystyle \exp \left[ \frac{Q_e}{R}\left( \frac{1}{T_0} - \frac{1}{T} \right) \right]$ (117)
$\displaystyle \beta_{rT}(T)$ $\displaystyle =$ $\displaystyle \exp \left[ \frac{Q_r}{R}\left( \frac{1}{T_0} - \frac{1}{T} \right) \right]$ (118)
$\displaystyle \beta_{sT}(T)$ $\displaystyle =$ $\displaystyle \exp \left[ \frac{Q_s}{R}\left( \frac{1}{T_0} - \frac{1}{T} \right) \right]$ (119)

motivated by the rate process theory. $R$ is the universal gas constant and $Q_e$, $Q_r$, $Q_s$ are activation energies for hydration, viscous processes and microprestress relaxation, respectively. Only the ratios $Q_e/R$, $Q_r/R$ and $Q_s/R$ have to be specified. Functions describing the influence of humidity have the form
$\displaystyle \beta_{eh}(h)$ $\displaystyle =$ $\displaystyle \frac{1}{1+\left[\alpha_e \left( 1-h\right) \right]^4}$ (120)
$\displaystyle \beta_{rh}(h)$ $\displaystyle =$ $\displaystyle \alpha_r + \left( 1 - \alpha_r \right) h^2$ (121)
$\displaystyle \beta_{sh}(h)$ $\displaystyle =$ $\displaystyle \alpha_s + \left( 1 - \alpha_s \right) h^2$ (122)

where $\alpha_e$, $\alpha_r$ and $\alpha_s$ are parameters.

At sealed conditions (or $CoupledAnalysisType = 2$) the auxiliary coefficients $\beta_{eT} = \beta_{rT} = \beta_{sT} = 1$ while at room temperature (or with $CoupledAnalysisType = 3$) factors $\beta_{e,h} = \beta_{r,h} = \beta_{s,h} = 1$.

It turned out that both the size effect on drying creep as well as its delay behind drying shrinkage can be addressed through parameter $p$ in the governing equation (112). In the experiments, the average (cross-sectional) drying creep is decreasing with specimen size. Unfortunately, for the standard value $p = 2$, the MPS model exhibits the opposite trend. For $p = \infty$ the size effect disappears, and for $p < 0$ it corresponds to the experiments. It should be noted that for negative or infinite values of $p$ the underlying theory loses its original physical background. If the experimental data of drying creep measured on different sizes are missing, the exponent $p = \infty$ can be taken as a realistic estimate.

When parameter $p$ is changed from its recommended value $p = 2$ it is advantageous to rewrite the governing differential equation to the following form

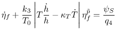
$\displaystyle {\dot \eta_f + \frac{k_3}{T_0} \left\vert T \frac{\dot h}{h} - \kappa_T \dot T \right\vert \eta_f^{\tilde{p}} = \frac{\psi_S}{q_4}}$ (123)

with newly introduced parameters

$\displaystyle \tilde{p} = p / (p-1)$ (124)

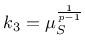
$\displaystyle k_3 = \mu_S^{\frac{1}{p-1}}$ (125)

With the “standard value” $p = 2$ (reverted size effect) the new parameter $\tilde{p}$ is also 2, for $p < 0$ (correct size effect) $\tilde{p} < 1$ and finally with $p = \infty$ the first parameter $\tilde{p} = 1$ and the second parameter $k_3$ becomes dimensionless. The other advantage of $\tilde{p} = 1$ is that the governing differential equation becomes linear and can be solved directly.

The rate of thermal strain is expressed as $\dot{\varepsilon}_T = \alpha_T \dot{T}$ and the rate of drying shrinkage strain as $\dot{\varepsilon}_{sh} = k_{sh} \dot{h}$, where both $\alpha_T$ and $k_{sh}$ are assumed to be constant in time and independent of temperature and humidity.

There are two options to simulate the autogenous shrinkage in the MPS material model. The first one is according to the B4 model

$\displaystyle \varepsilon_{sh,au,B4}(t_e) = \varepsilon_{sh,au,B4}^\infty \left[ 1 + \left( \frac{ \tau_{au} }{t_e} \right) ^ {w/c/0.38} \right]^{-4.5}$ (126)

and the second one is proposed in the Model Code 2010

$\displaystyle \varepsilon_{sh,au,fib}(t_e) = \varepsilon_{sh,au,fib}^\infty \left( 1- \exp \left( -0.2 \: \sqrt{t_e} \right) \right)$ (127)

For the normally hardening cement, the ultimate value of the autogenous shrinkage can be estimated from the composition using the empirical formula of the B4 model

$\displaystyle \varepsilon_{sh,au,B4}^\infty = -210 \times 10^{-6} \left ( \frac{a/c}{6} \right ) ^{-0.75} \left ( \frac{w/c}{0.38} \right ) ^ {-3.5}$     (128)

Similarly, in the Model Code, the ultimate shrinkage strain can be estimated from the mean concrete strength at the age of 28 days and from the cement grade

$\displaystyle \varepsilon_{sh,au,fib}^\infty = -\alpha_{as} \left( \frac{ 0.1 f_{cm} } { 6 + 0.1 f_{cm} }\right) ^{2.5} \times 10^{-6}$     (129)

where $\alpha_{as}$ is 600 for cement grades 42.5 R and 52.5 R and N, 700 for 32.5 R and 42.5 N and 800 for 32.5 N.

The model description and parameters are summarized in Tab. 35 for “B3mat”, in Tab. 36 for “B3solidmat”, and in Tab. 37 for “MPS”. Since some model parameters are determined from the composition and strength using empirical formulae, it is necessary to use the specified units (e.g. compressive strength always in MPa, irrespectively of the units used in the simulation for stress). For “B3mat” and “B3solidmat” it is strictly required to use the specified units in the material input record (stress always in MPa, time in days etc.). The “MPS” model is almost unit-independent, except for $\bar{f}_c$ in MPa and $c$ in kg/m$^3$, which are used in empirical formulae.


Table 35: B3 creep and shrinkage model - summary.
Description B3 material model for concrete aging
Record Format B3mat d(rn) # n(rn) # talpha(rn) # [ begoftimeofinterest(rn) #] [ endoftimeofinterest(rn) #] timefactor(rn) # relMatAge(rn) # [ mode(in) #] fc(rn) # cc(rn) # w/c(rn) # a/c(rn) # t0(rn) # q1(rn) # q2(rn) # q3(rn) # q4(rn) # shmode(in) # ks(rn) # vs(rn) # hum(rn) # [ alpha1(rn) #] [ alpha2(rn) #] kt(rn) # EpsSinf(rn) # q5(rn) # es0(rn) # r(rn) # rprime(rn) # at(rn) # w_h(rn) # ncoeff(rn) # a(rn) #
Parameters - num material model number
  - d material density
  - n Poisson ratio
  - talpha coefficient of thermal expansion
  - begoftimeofinterest optional parameter; lower boundary of time interval with good approximation of the compliance function [day]; default 0.1 day
  - endoftimeofinterest optional parameter; upper boundary of time interval with good approximation of the compliance function [day]
  - timefactor scaling factor transforming the simulation time units into days
  - relMatAge relative material age [day]
  - mode if $mode = 0$ (default value) creep and shrinkage parameters are predicted from composition; for $mode = 1$ parameters must be user-specified.
  - fc 28-day mean cylinder compression strength [MPa]
  - cc cement content of concrete [kg/m$^{3}$]
  - w/c ratio (by weight) of water to cementitious material
  - a/c ratio (by weight) of aggregate to cement
  - t0 age when drying begins [day]
  - q1-q4 parameters of B3 model for basic creep [1/TPa]
  - shmode shrinkage mode; $0=$ no shrinkage; $1=$ average shrinkage (the following parameters must be specified: ks, vs, hum and additionally alpha1 alpha2 for $mode = 0$ and kt EpsSinf q5 t0 for $mode = 1$; $2=$ point shrinkage (needed: es0, r, rprime, at, w_h, ncoeff, a)
  - ks cross-section shape factor [-]
  - vs volume to surface ratio [m]
  - hum relative humidity of the environment [-]
  - alpha1 shrinkage parameter - influence of cement type [-]
  - alpha2 shrinkage parameter - influence of curing type [-]
  - kt shrinkage parameter [day/m$^2$]
  - EpsSinf shrinkage parameter [10$^{-6}$]
  - q5 drying creep parameter [1/TPa]
  - es0 final shrinkage at material point
  - r, rprime coefficients
  - at oefficient relating stress-induced thermal strain and shrinkage
  - w_h, ncoeff, a sorption isotherm parameters obtained from experiments [Pedersen, 1990]
Supported modes 3dMat, PlaneStress, PlaneStrain, 1dMat, 2dPlateLayer,2dBeamLayer, 3dShellLayer


For illustration, sample input records for the material considered in Example 3.1 of the creep book by Bazant and Jirásek is presented. The concrete mix is composed of 170 kg/m$^3$ of water, 450 kg/m$^3$ of type-I cement and 1800 kg/m$^3$ of aggregates, which corresponds to ratios $w/c=0.3778$ and $a/c=4$. The compressive strength is $\bar{f}_c=45.4$ MPa. The concrete slab of thickness 200 mm is cured in air with initial protection against drying until the age of 7 days. Subsequently, the slab is exposed to an environment with relative humidity of 70%. The following input record can be used for the first version of the model (B3mat):

B3mat 1 n 0.2 d 0. talpha 1.2e-5 relMatAge 28. fc 45.4 cc 450. w/c 0.3778 a/c 4. t0 7. timefactor 1. alpha1 1. alpha2 1.2 ks 1. hum 0.7 vs 0.1 shmode 1

Parameter $\alpha_1=1$ corresponds to type-I cement, parameter $\alpha_2=1.2$ to curing in air, parameter $k_s=1$ to an infinite slab. The volume-to-surface ratio is in this case equal to one half of the slab thickness and must be specified in meters, independently of the length units that are used in the finite element analysis (e.g., for nodal coordinates). The value of relMatAge must be specified in days. Parameter relMatAge 28. means that time 0 of the analysis corresponds to concrete age 28 days. If material B3mat is used, the finite element analysis must use days as the units of time (not only for relMatAge, but in general, e.g. for the time increments).

If only the basic creep (without shrinkage) should be computed, then the material input record reduces to following: B3mat 1 n 0.2 d 0. talpha 1.2e-5 relMatAge 28. fc 45.4 cc 450. w/c 0.3778 a/c 4. t0 7. timefactor 1. shmode 0


Description B3solid material model for concrete creep
Record Format B3solidmat d(rn) # n(rn) # talpha(rn) # mode(in) # [ EmoduliMode(in) #] Microprestress(in) # shm(in) # [ begoftimeofinterest(rn) #] [ endoftimeofinterest(rn) #] timefactor(rn) # relMatAge(rn) # fc(rn) # cc(rn) # w/c(rn) # a/c(rn) # t0(rn) # q1(rn) # q2(rn) # q3(rn) # q4(rn) # c0(rn) # c1(rn) # tS0(rn) # w_h(rn) # ncoeff(rn) # a(rn) # ks(rn) # [ alpha1(rn) #] [ alpha2(rn) #] hum(rn) # vs(rn) # q5(rn) # kt(rn) # EpsSinf(rn) # es0(rn) # r(rn) # rprime(rn) # at(rn) # kSh(rn) # inithum(rn) # finalhum(rn) #
Parameters - num material model number
  - d material density
  - n Poisson ratio
  - talpha coefficient of thermal expansion
  - mode optional parameter; if $mode = 0$ (default), parameters $q1-q4$ are predicted from composition of the concrete mixture (parameters fc, cc, w/c, a/c and t0 need to be specified). Otherwise values of parameters $q1-q4$ are expected.
  - EmoduliMode optional parameter; analysis of retardation spectrum ($=0$, default value) or least-squares method ($=1$) is used for evaluation of Kelvin units moduli
  - Microprestress $0=$ basic creep; $1=$ drying creep (must be run as a staggered problem with preceding analysis of humidity diffusion. Parameter shm must be equal to 3. The following parameters must be specified: c0, c1, tS0, w_h, ncoeff, a)
  - shmode shrinkage mode; $0=$ no shrinkage; $1=$ average shrinkage (the following parameters must be specified: ks, vs, hum and additionally alpha1 alpha2 for $mode = 0$ and kt EpsSinf q5 for $mode = 1$; $2=$ point shrinkage (needed: es0, r, rprime, at), w_h ncoeff a; $3=$ point shrinkage based on MPS theory (needed: parameter kSh or value of kSh can be approximately determined if following parameters are given: inithum, finalhum, alpha1 and alpha2)
  - begoftimeofinterest optional parameter; lower boundary of time interval with good approximation of the compliance function [day]; default 0.1 day
  - endoftimeofinterest optional parameter; upper boundary of time interval with good approximation of the compliance function [day]
  - timefactor scaling factor transforming the simulation time units into days
  - relMatAge relative material age [day]


Table 36: B3solid creep and shrinkage model - summary.
  - fc 28-day mean cylinder compression strength [MPa]
  - cc cement content of concrete mixture [kg/m$^{3}$]
  - w/c water to cement ratio (by weight)
  - a/c aggregate to cement ratio (by weight)
  - t0 age of concrete when drying begins [day]
  - q1, q2, q3, q4 parameters (compliances) of B3 model for basic creep [1/TPa]
  - c0 MPS theory parameter [MPa$^{-1}$ day$^{-1}$]
  - c1 MPS theory parameter [MPa]
  - tS0 MPS theory parameter - time when drying begins [day]
  - w_h, ncoeff, a sorption isotherm parameters obtained from experiments [Pedersen, 1990]
  - ks cross section shape factor [-]
  - alpha1 optional shrinkage parameter - influence of cement type (optional parameter, default value is 1.0)
  - alpha2 optional shrinkage parameter - influence of curing type (optional parameter, default value is 1.0)
  - hum relative humidity of the environment [-]
  - vs volume to surface ratio [m]
  - q5 drying creep parameter [1/TPa]
  - kt shrinkage parameter [day/m$^2$]
  - EpsSinf shrinkage parameter [10$^{-6}$]
  - es0 final shrinkage at material point
  - at coefficient relating stress-induced thermal strain and shrinkage
  - rprime, r coefficients
  - kSh influences magnitude of shrinkage in MPS theory [-]
  - inithum [-], finalhum [-] if provided, approximate value of kSh can be computed
Supported modes 3dMat, PlaneStress, PlaneStrain, 1dMat, 2dPlateLayer, 2dBeamLayer, 3dShellLayer


Now consider the same conditions for “B3solidmat”. In all the examples below, the input record with the material description can start by
B3solidmat 1 d 2420. n 0.2 talpha 12.e-6 begtimeofinterest 1.e-2
endtimeofinterest 3.e4 timefactor 86400. relMatAge 28.

Parameters begoftimeofinterest 1.e-2 and endoftimeofinterest 3.e4 mean that the computed response (e.g., deflection) should be accurate in the range from 0.01 day to 30,000 days after load application. Parameter timefactor 86400. means that the time unit used in the finite element analysis is 1 second (because 1 day = 86,400 seconds). Note that the values of begtimeofinterest, endtimeofinterest and relMatAge are always specified in days, independently of the actual time units in the analysis. Parameter EmoduliMode is not specified, which means that the moduli of the Kelvin chain will be determined using the default method, based on the continuous retardation spectrum.

Additional parameters depend on the specific type of analysis:

  1. Computing basic creep only, shrinkage not considered, parameters $q_i$ estimated from composition.
    mode 0 fc 45.4 cc 450. w/c 0.3778 a/c 4.
    t0 7. microprestress 0 shmode 0
  2. Computing basic creep only, shrinkage not considered, parameters $q_i$ specified by the user.
    mode 1 q1 18.81 q2 126.9 q3 0.7494 q4 7.692
    microprestress 0 shmode 0
  3. Computing basic creep only, shrinkage handled using the sectional approach, parameters estimated from composition.
    mode 0 fc 45.4 cc 450. w/c 0.3778 a/c 4. t0 7.
    microprestress 0 shmode 1 ks 1. alpha1 1. alpha2 1.2 hum 0.7 vs 0.1
  4. Computing basic creep only, shrinkage handled using the sectional approach, parameters specified by the user.
    mode 1 q1 18.81 q2 126.9 q3 0.7494 q4 7.692
    microprestress 0 shmode 1 ks 1. q5 326.7 kt 28025 EpsSinf 702.4 t0 7. hum 0.7 vs 0.1
  5. Computing basic creep only, shrinkage handled using the point approach (B3), parameters specified by the user.
    mode 1 q1 18.81 q2 126.9 q3 0.7494 q4 7.692
    microprestress 0 shmode 2 es0 ... r ... rprime ... at ...
  6. Computing drying creep, shrinkage handled using the point approach (MPS), parameters $q_i$ estimated from composition.
    mode 0 fc 45.4 w/c 0.3778 a/c 4. t0 7. microprestress 1
    shmode 3 c0 1. c1 0.2 tS0 7. w_h 0.0476 ncoeff 0.182 a 4.867 kSh 1.27258e-003


Description Microprestress-solidification theory material model for concrete creep
Record Format mps d(rn) # n(rn) # talpha(rn) # referencetemperature(rn) # mode(in) # [ CoupledAnalysisType(in) #] [ begoftimeofinterest(rn) #] [ endoftimeofinterest(rn) #] timefactor(rn) # relMatAge(rn) # lambda0(rn) # fc(rn) # cc(rn) # w/c(rn) # a/c(rn) # stiffnessfactor(rn) # q1(rn) # q2(rn) # q3(rn) # q4(rn) # ksh(rn) # [ mus(rn) #] k3(rn) # [ alphaE(rn) #] [ alphaR(rn) #] [ alphaS(rn) #] [ QEtoR(rn) #] [ QRtoR(rn) #] [ QStoR(rn) #] kTm(rn) # [ kTc(rn) #] [ p(rn) #] [ p_tilde(rn) #] [ alpha_as(rn) #] [ eps_cas0(rn) #] [ b4_eps_au_infty(rn) #] [ b4_tau_au(rn) #] [ b4_alpha(rn) #] [ b4_r_t(rn) #] [ b4_cem_type(rn) #] [ temperInCelsius ]
Parameters - num material model number
  - d material density
  - n Poisson ratio
  - talpha coefficient of thermal expansion
  - referencetemperature reference temperature only to thermal expansion of material
  - mode optional parameter; if $mode = 0$ (default), parameters $q1-q4$ are predicted from composition of the concrete mixture (parameters fc, cc, w/c, a/c and stiffnessfactor need to be specified). Otherwise values of parameters $q1-q4$ are expected.
  - CoupledAnalysisType $0=$ basic creep; $1=$ (default) drying creep, shrinkage, temperature transient creep and creep at elevated temperature; $2=$ drying creep, shrinkage; $3=$ temperature transient creep and creep at elevated temperature; for choice # 1, 2, 3 the problem must be run as a staggered problem with preceding analysis of humidity and/or temperature distribution; Following parameters must be specified: mus or k3 (according to exponent p), kTm (compulsory for choice #3 otherwise optional)
  - lambda0 scaling factor equal to 1.0 day in time units of analysis (e.g. 86400 if the analysis runs in seconds)
  - begoftimeofinterest lower boundary of time interval with good approximation of the compliance function; default value = 0.01 $lambda0$
  - endoftimeofinterest upper boundary of time interval with good approximation of the compliance function; default value = 10000. $lambda0$
  - timefactor scaling factor, for mps material must be equal to 1.0
  - relMatAge relative material age = age at time when the material is cast in the structure


Table 37: MPS theory--summary.
  - fc 28-day standard cylinder compression strength [MPa]
  - cc cement content of concrete mixture [kg m$^{-3}$]
  - w/c water to cement weight ratio
  - a/c aggregate to cement weight ratio
  - stiffnessfactor scaling factor converting “predicted" parameters $q_1$ - $q_4$ into proper units (e.g. 1.0 if stiffness is measured in Pa, 1.e6 for MPa)
  - q1, q2, q3, q4 parameters of B3 model for basic creep
  - p and p_tilde replaceable parameters in the governing equation for viscosity, default value is $p = 2$
  - mus parameter governing to the evolution of viscosity; for exponent $p = 2$, $\mu_S = c_0 c_1 q_4$ [Pa$^{-1}$ s$^{-1}$]
  - k3 dimensionless parameter governing to the evolution of viscosity replacing mus in the special case when $p > 100$ (then $p$ is automatically set to $\infty$ which is equivalent to $p\_tilde = 1$)
  - ksh parameter relating rate of shrinkage to rate of humidity [-], default value is 0.0, i.e. no shrinkage
  - alphaE constant, default value 10.
  - alphaR constant, default value 0.1
  - alphaS constant, default value 0.1
  - QEtoR activation energy ratio, default value 2700. K
  - QRtoR activation energy ratio, default value 5000. K
  - QStoR activation energy ratio, default value 3000. K
  - kTm replaces $\ln{h}$ in the governing equation for viscosity
  - kTc controls creep at cyclic temperature
  - alpha_as and eps_cas0 control the ultimate value of autogenous shrinkage according to fib Model Code 2010; this ultimate value can be provided either directly via eps_cas0 (negative value for contraction) or using alpha_as, see equation (129)
  - b4_eps_au_infty, b4_tau_au, b4_alpha, b4_r_t, b4_cem_type control the evolution and the ultimate value of autogenous shrinkage according to model B4; all parameters are predicted from composition if the b4_cem_type is provided; however, this prediction can be manually overridden
  - temperInCelsius this string enables to run the supplementary transport problem with temperature in Celsius instead of Kelvin
Supported modes 3dMat, PlaneStress, PlaneStrain, 1dMat, 2dPlateLayer, 2dBeamLayer, 3dShellLayer


Finally consider the same conditions for “MPS material”. In all the examples below, the input record with the material description can start by
mps 1 d 2420. n 0.2 talpha 12.e-6 referencetemperature 296.

Additional parameters depend on the specific type of analysis:

  1. Computing basic creep only, shrinkage not considered, parameters $q_i$ estimated from composition and simulation time in days and stiffnesses in MPa.
    mode 0 fc 45.4 cc 450. w/c 0.3778 a/c 4. stiffnessFactor 1.e6
    timefactor 1. lambda0 1. begoftimeofinterest 1.e-2
    endoftimeofinterest 3.e4 relMatAge 28. CoupledAnalysisType 0.

  2. Computing basic creep only, shrinkage not considered, parameters $q_i$ specified by user, simulation time in seconds and stiffnesses in Pa.
    mode 1 q1 18.81e-12 q2 126.9e-12 q3 0.7494e-12 q4 7.6926e-12
    timefactor 1. lambda0 86400. begoftimeofinterest 864.
    endoftimeofinterest 2.592e9 relMatAge 2419200. CoupledAnalysisType 0.

  3. Computing both basic and drying creep, parameters $q_i$ specified by user, simulation time in seconds and stiffnesses in MPa.
    mode 1 q1 18.81e-6 q2 126.9e-6 q3 0.7494e-6 q4 7.6926e-6
    timefactor 1. lambda0 86400. begoftimeofinterest 864.
    endoftimeofinterest 2.592e9 relMatAge 2419200. CoupledAnalysisType 1.
    ksh 0.0004921875. t0 2419200. kappaT 0.005051 mus 4.0509259e-8

Final recommendations:

Borek Patzak
2019-03-19